Junsup Shim

jsshim@pusan.ac.kr

jsshim.jpg

Rm.#309, Bld.#414

2, Busandaehak-ro

63 beon-gil, Geumjeong-gu

Busan 46241, Korea

I am an Assistant Professor at the Department of Earth Science Education, Pusan National University (PNU).

As a theoretical astrophysicist/cosmologist, my research interest lies in uncovering new physics through the Large-Scale Structure (LSS) of the Universe. My primary research explores the fundamental parity symmetry of the early Universe using novel LSS probes. Beyond symmetry, I develop methods to investigate the nature of cosmic initial conditions and dark matter/energy and provide rigorous tests for theories of gravity on cosmological scales.

Before joining PNU, I was a Distinguished Postdoctoral Fellow at the Academia Sinica Institute of Astronomy and Astrophysics (ASIAA) in Taiwan and a Research Fellow at the Korea Institute for Advanced Study (KIAS). I earned my Ph.D. in Astronomy from Seoul National University, where I also completed my undergraduate studies in Mechanical and Aerospace Engineering, before transitioning into Astrophysics/Cosmology.

news

Mar 14, 2026 Open position(s) for Undergraduate internship
Mar 14, 2026 Open position(s) for MSc students
Mar 03, 2026 Cosmology group at PNU now opens! :)

selected publications

  1. 25c.png
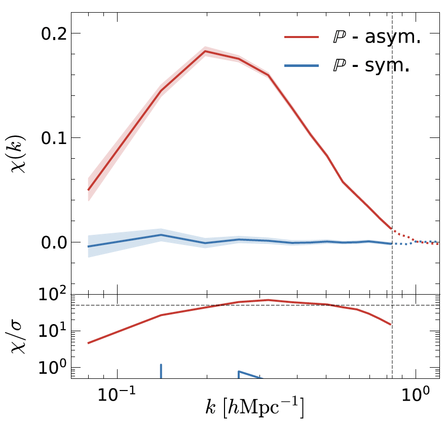
    Probing Vector Chirality in the Early Universe
    Junsup Shim, Ue-Li Pen, Hao-Ran Yu, and Teppei Okumura
    Physical Review Letters, Oct 2025
  2. 25a.png
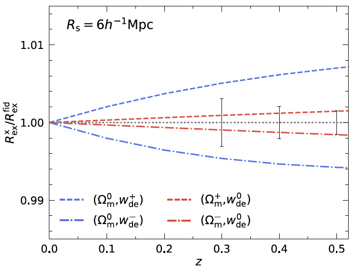
    Squeezing Full-shape Dynamical Dark Energy Constraints with Galaxy Alignments
    Junsup Shim, Teppei Okumura, and Atsushi Taruya
    The Astrophysical Journal Letters, May 2025
  3. 24.png
    Probing cosmology via the clustering of critical points
    Junsup Shim, Christophe Pichon, Dmitri Pogosyan, Stephen Appleby, Corentin Cadiou, Juhan Kim, Katarina Kraljic, and Changbom Park
    Monthly Notices of the Royal Astronomical Societ, Feb 2024
  4. 21b.png
    The clustering of critical points in the evolving cosmic web
    J. Shim, S. Codis, C. Pichon, D. Pogosyan, and C. Cadiou
    Monthly Notices of the Royal Astronomical Societ, Apr 2021
  5. 21a.png
    Identification of Cosmic Voids as Massive Cluster Counterparts
    Junsup Shim, Changbom Park, Juhan Kim, and Ho Seong Hwang
    The Astrophysical Journal, Feb 2021